Внешний вид и долговечность: живут ли более красивые люди дольше?

2024г Менее привлекательные мужчины и женщины живут меньше

Ориг.: Looks and longevity: Do prettier people live longer?
Авторы: Connor M. Sheehan, Daniel S. Hamermesh
 - Школа социальной и семейной динамики, Университет штата Аризона, 951 Cady Mall, Темпе, AZ 85281, США
 - Экономический факультет Техасского университета в Остине, 333 W. 57th St., Apt.706, Нью-Йорк, NY 10019, США
Дата: 25.06.2024г Received 25 March 2024, Revised 12 June 2024, Accepted 24 June 2024, Available online 25 June 2024
Журнал: Social Science & Medicine Volume 354, August 2024, 117076
DOI: 10.1016/j.socscimed.2024.117076
Ссылки: sciencedirect.com

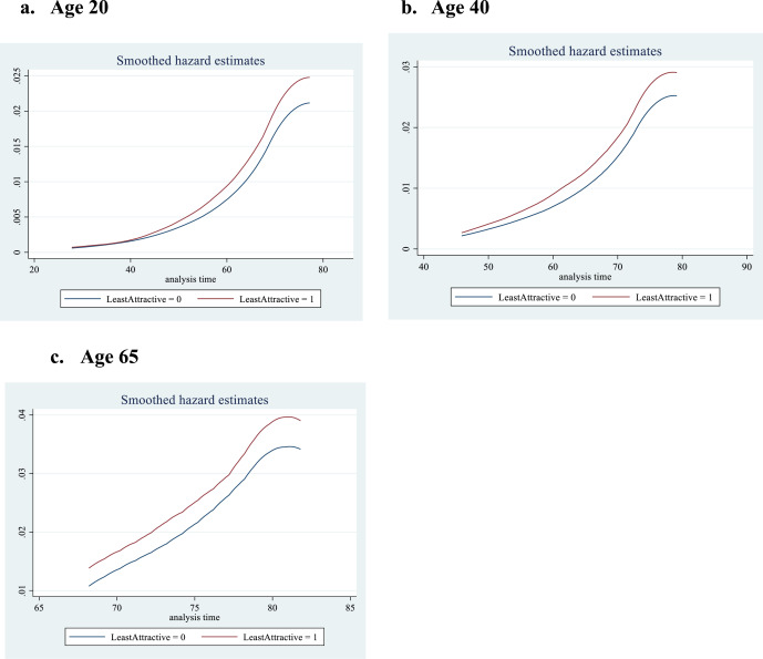
Люди, оцениваемые как наименее привлекательные на основании фотографий из школьного ежегодника, как правило, живут короче, чем их более привлекательные сверстники.

Сглаженные оценки функции риска (или функции опасности)Исследование показало также, что у людей, принадлежащих к секстилю с самой низкой привлекательностью, уровень смертности был значительно выше.

Содержание
  • Анотация
  • Основные моменты
  • Читайте также
  • О странице

Анотация

Социологи уделяют относительно мало внимания связи между привлекательностью и долголетием. Но привлекательность может передавать основное здоровье, и она систематически структурирует критические процессы социальной стратификации.

Мы оценили эти проблемы, используя Висконсинское продольное исследование (WLS, N = 8386), опрос выпускников средней школы Висконсина с 1957 года, который предоставил большие выборки женщин и мужчин, наблюдаемых до их смерти (или до начала 80-х годов). При этом мы использовали тщательно продуманную меру привлекательности лица, основанную на независимых рейтингах фотографий школьных ежегодников. Мы использовали связанную информацию о смертности из Национального индекса смертности плюс до 2022 года и моделей пропорциональной опасности Кокса, а также стандартные методы таблицы жизни.

Мы обнаружили, что наименее привлекательная рейтинговая половая группа выборки имела значительно более высокие риски смертности (ЧСС: 1,168, р <0,01) по сравнению со средними четырьмя секстильными группами привлекательности. Этот вывод оставался устойчивым к включению ковариат, описывающих достижения в средней школе, интеллект, семейное происхождение, заработок в зрелом возрасте, а также психическое и физическое здоровье в среднем возрасте. Мы также обнаружили, что различные спецификации меры привлекательности последовательно указывают на отсутствие существенных различий в риске смертности между очень привлекательными и средне выглядящими людьми. Используя методы таблицы жизни, мы затем показали, что среди женщин наименее привлекательного пола в возрасте 20 лет их ожидаемая продолжительность жизни была почти на 2 года меньше, чем у других"; среди мужчин наименее привлекательного пола он был почти на 1 год меньше в возрасте 20 лет.

Основные моменты

  • Мало что известно о связи между привлекательностью лица и долголетием
  • Анализируется как привлекательность на основе фотографий из ежегодника связана с долголетием
  • Обнаруженно что наименее привлекательная 1/6 имела значительно более высокий риск смертности
  • Наименее привлекательная 1/6 женщины в 20 лет прожила почти на 2 года меньше остальных
  • Наименее привлекательная 1/6 часть мужчин в 20 лет прожила почти на 1 год меньше остальных.

Читайте также

Гендерные различия в расходах на здравоохранение и смертности после утраты супруга: датское когортное исследование на основе регистра: 2023г Риск смертности после утраты супруги у молодых мужчин составляет 70% в течении первых 6 лет, у женщин такой рис 27% и только первый год

Связь между депрессией, частотой секса и смертностью от всех причин: результаты национального репрезентативного исследования: 2024г У Мужчин с ростом количества секса риск смерти возрастает, у женщин наоборот, риск смерти возрастает при дефиците секса

Эротический капитал: роль привлекательности в трудоустройстве и личной жизни: 2025г Иссдежование показало что внешность и социальная привлекательность играют важнгую роль при найме на работе

О странице

ℹ️ Эта страница состоит в проектах: Гендерные исследования: Женщины; Мужчины
Вы можете присоедениться к проекту улучшив или подготовив новые публикации

Темы публикации: Привлекательность, Смертность

Цитирование [Скопировать]
Внешний вид и долговечность: живут ли более красивые люди дольше? - Connor M. Sheehan, Daniel S. Hamermesh; Social Science & MedicineVolume 354, August 2024, 117076; DOI: 10.1016/j.socscimed.2024.117076; BazedWiki.org
Ссылка [Скопировать]
https://BazedWiki.org/ru/Внешний-вид-и-долговечность-живут-ли-более-красивые-люди-дольше
  • Публикация
  • Редактировать Правки
  • Читать
Оформление
Размеры
  • - +
  • Сбросить
Поделиться страницей
Twitter Reddit Telegram facebook VK
Скачать PDF версию
Распечатать публикацию
Навигация
  • Главная страница
  • Сообщить об ошибке
  • ➕ Создать страницу
Участие
  • Не проверенные правки
  • Свежие страницы
  • Черновики
  • Не проверенные страницы
  • Изображения
    • Не проверенные
Категории и проекты
  • Гендерные исследования
    • Женщины
    • Мужчины
  • Гендерная статистика
  • Исследования работы
  • Природа и другие виды
  • Космос и вселенная
  • Спорт
  • Праздники
  • Женщина
  • Мужчина
Справка
  • Условия использования
  • Отказ от ответственности
  • Редактирование страниц
База знаний
  • Создать аккаунт
  • Войти
Оригинальные тексты авторов и редакторов этой онлайн эциклопедии доступен по лицензии Creative Commons «С указанием авторства — Некоммерческая — С сохранением условий» (CC BY-NC-SA), есть исключения и возможность измнения лицензии, подробнее об условиях использования смотрите на страницн Условия использования
  • Об энциклопедии
  • Условия использования
  • Отказ от ответственности
  • Правила редактирования
  • Все пуюбликации
Мы используем cookie
Мы используем файлы cookies а также при редактировании страниц без авторизации, либо комментирования без авторизации, сохраняется IP-адрес, это необходимо для обеспечения работоспособности, борьбы со спамом и улучшения качества обслуживания.